Page 53 - 2020년김해시통계연보
P. 53
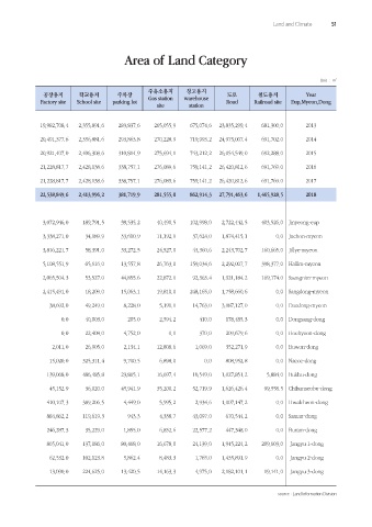
Land and Climate 51
Area of Land Category
Unit : ㎡
주유소용지 창고용지
공장용지 학교용지 주차장 Gas station warehouse 도로 철도용지 Year
Factory site School site parking lot Road Railroad site Eup,Myeon,Dong
site station
19,982,708.4 2,355,891.6 283,837.6 265,055.9 675,074.6 23,835,299.4 681,300.0 2013
20,491,377.6 2,356,881.6 293,863.8 270,228.9 719,993.2 24,975,007.4 691,702.0 2014
20,921,407.0 2,406,308.6 310,814.9 275,694.1 743,212.2 26,054,549.0 692,288.0 2015
21,228,817.7 2,428,138.6 338,757.1 276,089.6 759,141.2 26,420,812.6 691,769.0 2016
21,228,817.7 2,428,138.6 338,757.1 276,089.6 759,141.2 26,420,812.6 691,769.0 2017
22,538,849.6 2,413,996.2 381,719.9 281,555.0 862,914.3 27,791,463.6 1,465,928.5 2018
3,072,946.0 189,791.5 39,535.2 40,490.5 102,998.0 2,722,442.5 403,526.0 Jinyeong-eup
3,338,271.0 34,089.9 33,610.9 11,192.0 37,624.0 1,874,415.1 0.0 Juchon-myeon
3,816,221.7 58,391.0 33,272.5 24,527.0 43,360.6 2,243,702.7 160,665.0 Jillye-myeon
5,108,551.9 65,616.0 13,557.8 26,763.0 159,034.6 2,292,007.7 398,377.0 Hallim-myeon
2,065,504.3 53,527.0 44,855.6 22,872.0 92,363.4 1,921,184.2 169,174.0 Saengnim-myeon
2,415,491.0 18,209.0 15,063.1 19,810.0 248,165.0 1,758,660.6 0.0 Sangdong-myeon
38,692.0 49,249.0 8,228.0 5,191.0 14,763.0 3,087,127.0 0.0 Daedong-myeon
0.0 40,003.0 205.0 2,594.2 410.0 178,485.3 0.0 Dongsang-dong
0.0 22,408.0 4,752.0 0.0 370.0 209,679.6 0.0 Hoehyeon-dong
2,011.0 26,905.0 2,134.1 12,808.6 1,069.0 352,271.9 0.0 Buwon-dong
15,020.0 325,311.4 9,700.5 6,898.0 0.0 808,952.8 0.0 Naeoe-dong
139,068.0 486,485.8 23,865.1 16,697.4 10,549.0 1,027,851.2 5,884.0 Bukbu-dong
45,152.9 36,020.0 45,941.9 35,200.2 52,719.9 1,626,426.4 99,558.5 Chilsanseobu-dong
410,107.3 389,206.5 4,449.0 5,995.2 2,934.6 1,007,147.2 0.0 Hwalcheon-dong
884,862.2 119,619.3 943.3 4,338.7 43,097.0 670,544.2 0.0 Saman-dong
246,287.3 35,229.0 1,855.0 6,852.6 22,577.2 447,348.0 0.0 Buram-dong
865,041.0 137,186.0 80,468.0 16,678.0 24,139.0 1,945,224.2 209,603.0 Jangyu 1-dong
62,532.0 102,123.8 5,862.4 8,483.3 1,765.0 1,435,891.9 0.0 Jangyu 2-dong
13,090.0 224,625.0 13,420.5 14,163.3 4,975.0 2,182,101.1 19,141.0 Jangyu 3-dong
source : Land Information Division

